The Education Auditorium UK

  • Home
  • Playlists
  • GCSE Maths
  • Support
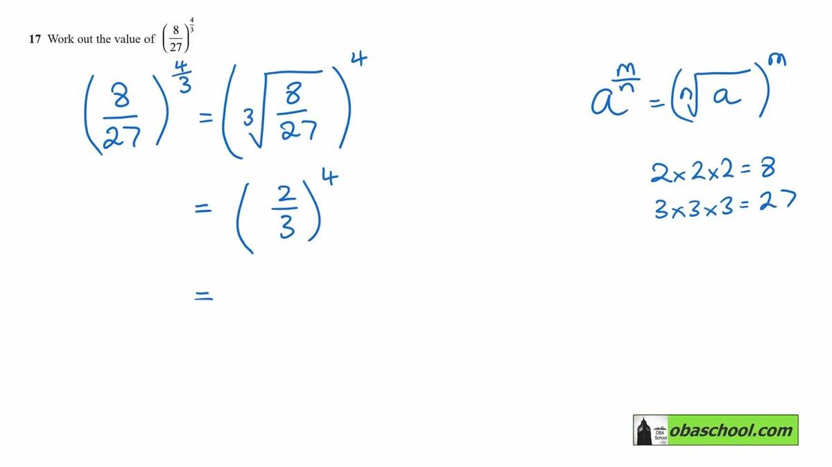
  • 01:23 Edexcel GCSE H 2022 Paper 1 NC Q17

    Edexcel GCSE H 2022 Paper 1 NC Q17

    March 10, 2024

  • 01:04 Edexcel GCSE H 2022 Paper 1 NC Q21

    Edexcel GCSE H 2022 Paper 1 NC Q21

    March 10, 2024

  • 04:17 Edexcel GCSE Maths Past Papers H 2022 Paper 1 NC Q16

    Edexcel GCSE Maths Past Papers H 2022 Paper 1 NC Q16

    March 10, 2024

  • 03:19 Edexcel GCSE Maths Past Papers H 2022 Paper 1 NC Q19

    Edexcel GCSE Maths Past Papers H 2022 Paper 1 NC Q19

    March 10, 2024

  • 03:12 Edexcel GCSE Maths Past Papers H 2022 Paper 1 NC Q22

    Edexcel GCSE Maths Past Papers H 2022 Paper 1 NC Q22

    March 10, 2024

  • 04:45 Edexcel GCSE Maths Past Papers H 2022 Paper 1 NC Q23

    Edexcel GCSE Maths Past Papers H 2022 Paper 1 NC Q23

    March 10, 2024

  • 04:47 Edexcel GCSE Maths Past Papers H 2022 Paper 1 NC Q24

    Edexcel GCSE Maths Past Papers H 2022 Paper 1 NC Q24

    March 10, 2024

  • 02:44 Edexcel GCSE Maths Past Papers November 2022 Calculator Paper 2 Higher Q14

    Edexcel GCSE Maths Past Papers November 2022 Calculator Paper 2 Higher Q14

    March 10, 2024

  • 02:15 Edexcel GCSE Maths Past Papers November 2022 Calculator Paper 2 Higher Q19

    Edexcel GCSE Maths Past Papers November 2022 Calculator Paper 2 Higher Q19

    March 10, 2024

  • 01:54 Edexcel GCSE Maths Past Papers November 2022 Calculator Paper 2 Higher Q22

    Edexcel GCSE Maths Past Papers November 2022 Calculator Paper 2 Higher Q22

    March 10, 2024

  • 04:59 Edexcel GCSE Maths Past Papers November 2022 Calculator Paper 2 Higher Q23

    Edexcel GCSE Maths Past Papers November 2022 Calculator Paper 2 Higher Q23

    March 10, 2024

  • 03:58 Edexcel GCSE Maths Past Papers November 2022 Calculator Paper 2 Higher Q24

    Edexcel GCSE Maths Past Papers November 2022 Calculator Paper 2 Higher Q24

    March 10, 2024

  • ◀︎
  • 1
  • 2
  • 3
  • 4
  • 5
  • ◀︎
© 2026 OBA School Ltd